Etaline EL 200L E2 01 Ø 125 - Ø 200
Kód: 125324Vlastní produkty
z naší výroby
Provádíme montáže
i jádrové vrtání
2 prodejny v Praze
Palmovka a Žižkov
Ověřený obchod
hodnocení 4,9
Prodej
na splátky
Detailní popis produktu
EL 200L E2 01

EL 200L E2 01

Jak vybrat potrubní ventilátor Ruck Etaline
Ventilátory Ruck Etaline představují moderní a kompaktní potrubní ventilátory určené pro efektivní odvětrávání obytných, komerčních i průmyslových prostor. Díky diagonální konstrukci oběžného kola kombinují výhody axiálních i radiálních ventilátorů – dosahují vysokého průtoku vzduchu a nízkých tlakových ztrát při zachování nízké hlučnosti a energetické úspornosti. Jsou ideální pro instalace, kde je potřeba spolehlivé větrání s minimálními nároky na prostor.
1-rychlostní vs. 3-rychlostní provedení
Ventilátory do potrubí Ruck Etaline se vyrábějí v různých verzích podle způsobu regulace otáček:
- 1-rychlostní verze – ventilátor běží na plný výkon a je vhodný tam, kde není potřeba měnit intenzitu větrání (např. technické místnosti, sklepy, sklady).
- 3-rychlostní verze – umožňuje přepínání mezi třemi výkony podle aktuální potřeby. Ideální pro koupelny, kuchyně nebo kanceláře. Přepínání se provádí externím ovladačem nebo přímo při zapojení ventilátoru.
Pokud hledáte flexibilní větrání s možností přizpůsobit výkon, doporučujeme 3-rychlostní model. Pro trvalý provoz a jednoduchou instalaci postačí 1-rychlostní varianta.
AC motor vs. EC motor
Řada Ruck Etaline nabízí jak klasické AC motory, tak moderní EC motory s elektronickou komutací.
- AC motor (střídavý) – cenově dostupné a osvědčené řešení pro běžné aplikace. Možnost regulace otáček pomocí transformátoru.
- EC motor (elektronicky komutovaný) – až o 50 % úspornější, tišší a s možností plynulé regulace výkonu (0–10 V). Vhodný pro trvalý provoz a systémy s požadavkem na nízkou hlučnost.
EC motory doporučujeme pro moderní domácí i komerční instalace – nabízejí vysokou účinnost, tichý chod a dlouhou životnost.
230 V vs. 400 V – jaký typ zvolit?
Ventilátory Ruck Etaline jsou dostupné ve variantách pro 230 V (jednofázové napájení) i 400 V (třífázové napájení).
- 230 V ventilátory jsou vhodné pro běžné domácí a menší komerční instalace, kde je k dispozici standardní síťové napětí. Mají jednoduché zapojení a snadno se kombinují s regulátory otáček.
- 400 V ventilátory jsou určeny pro náročnější provozy s vyšším výkonem, delším potrubím nebo trvalým zatížením. Nabízejí stabilnější chod, nižší proudové zatížení motoru a delší životnost při nepřetržitém provozu.
Pokud ventilátor instalujete v běžném objektu (např. rodinný dům, kancelář), zvolte model 230 V. Pro průmyslové prostory, provozy nebo ventilaci s delšími trasami se doporučuje varianta s 400 V.
Ruck Etaline – výkonný a tichý ventilátor do potrubí
Řada Ruck Etaline pokrývá široký rozsah průměrů potrubí od 125 do 710 mm a je určena pro větrání koupelen, kuchyní, kanceláří, dílen i menších provozů.
Konstrukce z odolného materiálu, optimalizovaná aerodynamika a precizní vyvážení oběžného kola zaručují stabilní výkon, nízké vibrace a minimální hlučnost.
Hlavní výhody řady Etaline:
- Diagonální konstrukce pro vysoký tlak a průtok.
- Tichý chod i při plném výkonu.
- Kompaktní rozměry a jednoduchá montáž.
- Teplotní odolnost dopravovaného média je u vybraných modelů až +80 °C.
- Dlouhá životnost a bezúdržbový provoz.
Ruck Etaline – kompaktní, tichý a výkonný ventilátor do potrubí pro každodenní i profesionální použití.
Doplňkové parametry
| Kategorie: | Axiální ventilátory |
|---|---|
| Materiál: | Plast |
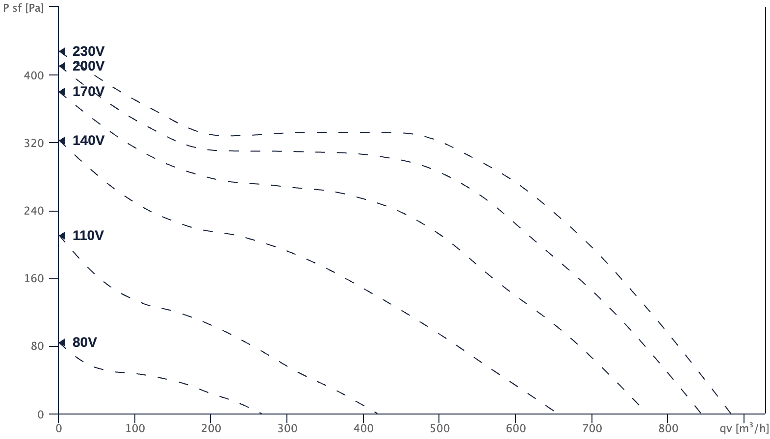
| Průtok: | 880 m3/h |
| Hlučnost: | 67 dB |
| El. proud: | 0,62 A |
| El. příkon: | 124 W |
| Hmotnost: | 3,34 kg |
| Kód: | 125324 |
| Krytí IP: | IPX4 |
| Max. teplota média: | 55 °C |
| Max. teplota prostředí: | 55 °C |
| Min. teplota prostředí: | -25 °C |
| Napájení: | 230 V |
| Napojení: | Ø 200 mm |
| Název: | EL 200L E2 01 |
| Počet rychlostí: | 1 |
| Typ motoru: | AC |
| Výrobce: | Ruck Ventilatoren |
| #kamarádi: | 2 |
| #slozeni: | Typ motoru |
| #slozeni_1: | Napojení / Průtok / Napájení / Počet rychlostí |
Buďte první, kdo napíše příspěvek k této položce.
Buďte první, kdo napíše příspěvek k této položce.